ACIDENTES DE TRABALHO NA CONSTRUÇÃO CIVIL
EM MATO GROSSO: O SUBSETOR DA CONSTRUÇÃO DE EDIFÍCIOS
Mackson Ronny de Oliveira D”Anunciação
Artigo Científico apresentado à Universidade Cândido Mendes – UCAM, como requisito parcial para a obtenção do título de Especialista em Engenharia de Segurança do Trabalho.
RESUMO
A indústria da Construção Civil é um setor significativo para a economia brasileira. Participa com cerca de 10% do Produto Interno Bruto (PIB). Ela mantém processos ainda muito convencionais, e com sérios riscos à saúde dos trabalhadores. O estudo aborda a incidência dos acidentes de trabalho na Construção Civil, em Mato Grosso, em particular os que ocorrem no subsetor de construção de edifícios, entre 2010 a 2017. O trabalho tem como base de dados os levantamentos realizados pela Câmara Brasileira da Construção (CBIC) e pelo Observatório Digital de Saúde e Segurança do Trabalho (Ministério Público do Trabalho) e Pesquisa Anual da Indústria da Construção (PAIC). A pesquisa é descritiva, quantitativa, sendo um estudo bibliográfico e documental.
Palavras-chave: Segurança do Trabalho. Acidentes de trabalho. Construção civil. Construção de Edifícios.
RESUMEN
La industria de la Construcción Civil es un sector significativo para la economía brasileña. Participa con cerca del 10% del Producto Interno Bruto (PIB). Se mantienen procesos aún muy convencionales, y con serios riesgos para la salud de los trabajadores. El estudio aborda la incidencia de los accidentes de trabajo en la Construcción Civil, en Mato Grosso, en particular los que ocurren en el sector de construcción de edificios, entre 2010 y 2017. El trabajo tiene como base de datos los levantamientos realizados por la Cámara Brasileña de la Construcción (CBIC) y por el Observatorio Digital de Salud y Seguridad del Trabajo (Ministerio Público del Trabajo) e Investigación Anual de la Industria de la Construcción (PAIC). La investigación es descriptiva, cuantitativa, siendo un estudio bibliográfico y documental.
Palabras claves: Seguridad del trabajo. Accidentes de trabajo. Construcción civil. Construcción de Edificios
1 INTRODUÇÃO
A indústria da Construção Civil é um setor bastante significativo para a economia nacional. Sua participação é da ordem de 10% do Produto Interno Bruto (PIB). A soma das riquezas produzidas no País vem, assim, se não dependendo, mas sendo significativamente influenciado por essa atividade econômica.
De fato, se considera a cadeia de valor do setor movimentando 10% do PIB e empregando 10 milhões de trabalhadores em 2018.1 “Trata-se de uma cadeia de atividades que são executadas para projetar, produzir, comercializar entregar, operar e manter o produto ou serviço, o edifício [em particular]” (HAITO, CARDOSO e DA SILVA, 2008, p. 2).
A Construção Civil, pois, se configura como um grande impulsionador da economia nacional. “No auge dos investimentos no país, entre 2003 e 2014, ela chegou a representar 12,4% do Produto Interno Bruto (PIB), com um investimento de R$ 809 bilhões e recolhimento de impostos na casa de R$ 180 bilhões” (EM MOVIMENTO).
Se – de um lado –, a indústria da Construção Civil ocupa importante espaço na economia brasileira; por outro, ela mantém processos ainda muito convencionais, agressores ao meio ambiente, e com sérios riscos à saúde dos profissionais envolvidos.
O presente estudo aborda a incidência dos acidentes de trabalho na Construção Civil, no estado de Mato Grosso, particularizando aqueles que ocorrem no subsetor de construção de edifícios, no período de 2010 a 2017.
O trabalho tem como base de dados os levantamentos e estudos realizados pela Câmara Brasileira da Construção (CBIC) e pelo Observatório Digital de Saúde e Segurança do Trabalho (Ministério Público do Trabalho). Também se funda na Pesquisa Anual da Indústria da Construção (PAIC). A partir desses dados, pode-se traçar a situação dos acidentes de trabalho na construção civil (subsetor de construção de edifícios), no período 2010-2016, no estado de Mato Grosso.
A pesquisa é descritiva, pois “expõe características de determinada população ou de determinado fenômeno” (VERGARA, 2004, p. 47, apud FREITAS e JABBOUR, 2010, p. 1) e também estabelece correlações entre variáveis. Quanto à forma de abordagem do problema, é quantitativa. Do ponto de vista dos procedimentos técnicos, trata-se de um estudo de caso, bibliográfico e documental (GIL, 2008, apud VIANELLO, p. 47-8).
1 Porter (1985) “define este conjunto de atividades como a cadeia de valor (apud HAITO, CARDOSO e DA SILVA, 2008, p. 2). Cadeia de valor “representa o conjunto de atividades desempenhadas por uma organização desde as relações com os fornecedores e ciclos de produção e de venda até à fase da distribuição final”. Disponível em: <https://pt.wikipedia.org/wiki/Cadeia_de_valor>. Acesso em: 19 mar. 2019.
Um elemento fundamental que contribui para a escolha do tema é o conhecimento do contexto, por parte do autor desse trabalho, em que se insere a análise: o estado de Mato Grosso. O Estado tem uma população estimada de 3.441.998 habitantes (IBGE, 2018) e uma indústria da Construção Civil com 1.119 empresas ativas ocupando 26.227 pessoas (IBGE, 2016).
Além desta Introdução (1), o trabalho contempla os seguintes capítulos: 2. Segurança do Trabalho e Construção Cicil (onde se se apresentam conceitos e fundamentos – segurança do trabalho, acidentes, riscos – e se abordam os autores que dão sustento teórico ao tema); 3. Segurança do Trabalho na Construção Civil: subsetor da construção de edifícios no Brasil e em Mato Grosso. (com que se faz uma apresentação e discussão de dados, dos elementos e da situação da Segurança do Trabalho, mormente na Construção Civil e no seu subsetor da Construção de Edifícios); e 4. Considerações finais (momento em que se colocam observações finais e algumas recomendações). Por fim, é colocada a relação das obras consultadas para a fundamentação do trabalho denominada, consequentemente, de Referências bibliográficas.
No próximo capítulo, são abordados os principais conceitos de interesse direto da Segurança do Trabalho e os fundamentos teóricos que norteiam o presente estudo.
2 SEGURANÇA DO TRABALHO E CONSTRUÇÃO CIVIL
Segurança do Trabalho, segundo Losso e Losso (2011, p. 34) é “o conjunto de medidas que versam sobre condições específicas de instalação do estabelecimento e de suas máquinas, visando à garantia do trabalhador contra natural exposição aos riscos inerentes à prática da atividade profissional”.
Peixoto (2010, p 15), também apresentando um conceito de Segurança do Trabalho, “afirma que [essa] pode ser entendida como o conjunto de medidas adotadas, visando minimizar os acidentes de trabalho, doenças ocupacionais, bem como proteger a integridade e a capacidade de trabalho das pessoas envolvidas”.
Chiavenato (2010, p. 477, apud VIANA, ALVES e JERÔNIMO, 2014, p. 3290), por sua vez, conceitua Segurança do Trabalho, como “o conjunto de medidas de ordem técnica, educacional, médica e psicológicas utilizadas para prevenir acidentes, quer eliminando a condição insegura do ambiente quer instruindo ou convencendo as pessoas da implantação das práticas preventivas”.
Por fim, para Cardella (2010, p. 37, apud VIANA, ALVES e JERÔNIMO, 2014, p. 3290), a Segurança no Trabalho é “o conjunto de ações exercidas com o intuito de reduzir danos e perdas provocados por agentes agressivos”.
Como se percebe, os dois primeiros autores (Losso e Losso, 2011) chamam a atenção para os riscos da atividade profissional. O terceiro, Peixoto (2010), e o quarto, Chiavenato (2010), colocam a preocupação da Segurança do Trabalho em minimizar e, ou prevenir acidentes. Por fim, o quinto, Cardella (2010), aponta o objetivo da Segurança do Trabalho no sentido de reduzir danos e perdas.
Por sua própria natureza, a indústria da Construção Civil exige a realização de trabalhos árduos por seus trabalhadores. “Não por coincidência, este ramo de trabalho é líder de em acidentes, preocupando profissionais da área da Engenharia de Segurança com a conscientização e diminuição dos riscos” (SILVA, 2014, p. 78).
A indústria da Construção Civil é bastante complexa em suas atividades e envolve muitos produtos ligados a demandas, as mais diversas, e que requer processos de produção muito particulares, conforme corrobora Silva (2014, p. 81) o que asseveram Mello e Amorim (2009):
A Construção Civil é integrada por uma série de atividades com diferentes graus de complexidade, ligadas entre si por uma vasta diversificação de produtos, com processos tecnológicos variados, vinculando-se a diferentes tipos de demanda (MELLO e AMORIM, 2009, p. 390).
Algumas peculiaridades e restrições ao desenvolvimento deste segmento no setor da Construção Civil, podem ser elencadas:
-
baixa eficiência produtiva; b) qualidade e produtividade insatisfatórias;
-
pouco afeito a modificações; d) utilização de mão-de-obra de baixa qualificação e; e) alta rotatividade de pessoal (MELLO e AMORIM, 2009, p. 391).
A indústria da Construção Civil, como já afirmado, ao mesmo tempo que agrega valor substancial ao PIB, emprega bastante mão de obra – inclusive em tarefas manuais – suas atividades são eivadas de perigos riscos. Ela tem se notabilizado por altas taxas de acidentes, por elevados índices de sinistralidade, conforme afirmam Viana, Alves e Jerônimo (2014, p. 3290): “Este elevado índice está inevitavelmente associado às especificidades que caracterizam o setor e a vários fatores […]”. Dentre estes, destacam-se: sobreposição de tarefas (no espaço e no tempo); pluralidade e diversidade de intervenientes e empresas em ação simultânea; frequentes situações de trabalho em altura ou abaixo do solo; forte circulação interna de pessoas, materiais e equipamentos […] (ibidem).
Em geral, os acidentes derivam de duas principais causas: 1) humanas (falta de conhecimento em determinadas tarefas ou no manuseio de equipamentos; falta de experiência ou capacitação adequada; motivação inadequada; estresse; descumprimento de normas e regras de segurança); e 2) causas materiais (problemas e acidentes gerados por questões técnicas e físicas que independem de ação humana para acontecer, como problemas no equipamento ou em decorrência de ações naturais, como a eletricidade) (NOVENTA TI, 2017).
A próxima seção apresenta diferenças entre esses elementos inerentes aos objetivos e preocupações da Segurança do Trabalho.
2.1 Perigo, riscos e acidentes
O perigo é a fonte, situação ou ato com potencial para causar prejuízo ou dano (MAPA DA OBRA, 2017).
Conforme assinalam Sanders e McCormick (1993, p. 675), risco “é a probabilidade ou chance de lesão ou morte” (apud GOMES e LAMANA, 2017, p. 2). O risco é a probabilidade do potencial perigo causá-lo (MAPA DA OBRA, 2017). O risco de acidente, por seu turno, pode ser conceituado nesses termos:
Qualquer fator que coloque o trabalhador em situação vulnerável e possa afetar sua integridade e seu bem-estar físico e psíquico. São exemplos de risco de acidente: as máquinas e equipamentos sem proteção, probabilidade de incêndio e explosão, arranjo físico inadequado, armazenamento inadequado, etc. (MAZZEU, DEMARCO e KALIL, 2007, p. 7).
Enquanto o perigo é absoluto, o risco é sempre relativo. “O perigo é uma característica intrínseca das situações, dos materiais, dos processos e das instalações, já o risco depende das medidas de prevenção e de proteção implementadas (MAPA DA OBRA, 2017).
Losso e Losso (2011, p. 86) conceitual acidente de trabalho como “um evento que causa lesão à saúde, à integridade física e até mesmo à vida do empregado, e que ocorre durante a execução da atividade profissional ou que com ela haja alguma relação”.
A Lei no 8.213/91, em seu Art. 19, com redação dada pela Lei Complementar nº 150, de 2015, assim define acidente do trabalho:
Acidente do trabalho é o que ocorre pelo exercício do trabalho a serviço de empresa ou de empregador doméstico ou pelo exercício do trabalho dos segurados referidos no inciso VII do art. 11 desta Lei, provocando lesão corporal ou perturbação funcional que cause a morte ou a perda ou redução, permanente ou temporária, da capacidade para o trabalho (BRASIL, 1991).
No capítulo seguinte, são apresentados e discutidos os dados coletados e a situação da Segurança do Trabalho no Brasil e em Mato Grosso, destacando a Construção Civil e o seu subsetor de Construção de Edifícios.
3 SEGURANÇA DO TRABALHO NA CONSTRUÇÃO CIVIL: SUBSETOR DA CONSTRUÇÃO DE EDIFÍCIOS NO BRASIL E EM MATO GROSSO
Segundo a Câmara Brasileira da Construção (CBIC), a participação relativa da Construção Civil na população total ocupada, entre os anos 2010 e 2016, no Brasil, em média, é de 8,34%. Nos anos de 2010 e de 2016, a participação alcança o menor valor (8,00%) e em 2014, atinge seu valor máximo (8,67%), conforme mostra a Tabela 1. Esses dados demonstram a pujança e importância da construção civil: “o setor gera 10 milhões de empregos e movimenta 9,9% do Produto Interno Bruto (PIB), com potencial para alavancar ainda mais a economia.” (EM MOVIMENTO, 2018).
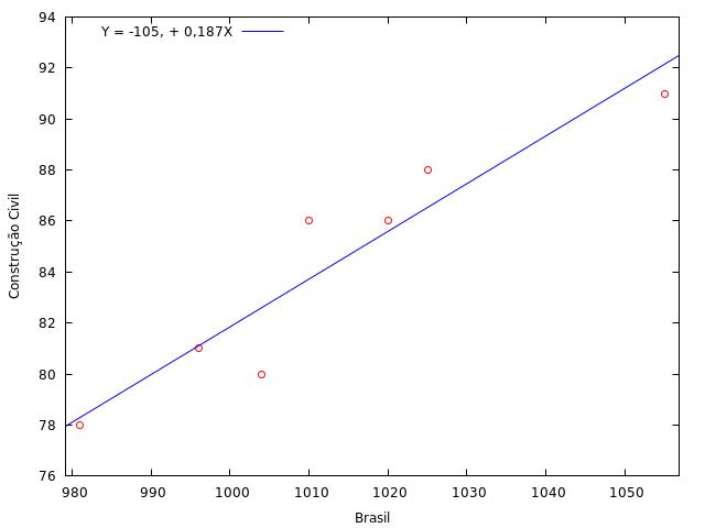
O Gráfico 1 mostra uma correlação muito forte entre crescimento do emprego geral (pessoas ocupadas) e o da Construção Civil – 0,939413052. Em outros termos, significa dizer que à medida que crescem os empregos, também aumentam aqueles do setor da Construção Civil. Reafirma-se, pois, a participação relativa do setor em torno de 8,34%, no período 2010-1016.
2 Sobre correlação e demais elementos de Estatística, veja-se ARAUJO, Wolhfagon Costa de.
Estatística e Matemática com Software Livre. Solânea – Paraíba: Edição do Autor, 2016.
Tabela 1 – Pessoas ocupadas na Construção Civil (Brasil – 2010-2016)

Fonte: Elaboração do autor com dados do IBGE – CBIC
Gráfico 1 – Construção Civil x Brasil
(com ajustamento por mínimos quadrados)
Valores em 100.000 habitantes
Fonte: Elaboração do autor com dados do IBGE e PAIC.
Da Tabela 2, depreende-se que Mato Grosso participa com apenas 998 empresas (em média) ou 0,91% das empresas ativas de Construção Civil do Brasil. Nota-se que o número de empresas, acompanhando a tendência nacional, aumenta entre 2010 e 2015. Todavia, em 2016, ao contrário do País, decresce 4,58% em relação ao ano anterior.
Tabela 2 – Empresas ativas de Construção Civil
(Brasil e Mato Grosso: 2010-2016)
Fonte: Elaboração do autor com dados do IBGE e PAIC.
Na Tabela 3, observa-se o comportamento do pessoal ocupado no estado de Mato Grosso. Em 2010, é o menor valor (25.554) da série. Em 2013, por sua vez, é o ano que aponta o maior número de ocupados (37.745) da série. Nota-se que a partir desse ano, Mato Grosso perde 11.518 empresas, o que representa uma queda de 30,52% no período 2013-2016.
Tabela 3 – Empresas ativas
e pessoal ocupado (Mato Grosso: 2010-2016)

Fonte: Elaboração do autor com dados do IBGE e PAIC.
A Tabela 4 apresenta o número de acidentes de trabalho no Brasil e em Mato Grosso, no período de 2010 a 2017. Note-se que houve uma redução de 152.091 (21,68) acidentes no Brasil e de 1.353 (10,12%) em Mato Grosso. Todavia, há de registrar a preocupação de Campos Jr. (2018): a crise tem elevado a informalidade e mascarado os acidentes na construção civil, posto que vem aumentando “o número de pedreiros e serventes vivendo de bicos, longe dos olhos da fiscalização”.
Também se deduz que o País tem uma média de 664.232 acidentes de trabalho por ano, enquanto Mato Grosso fica com 13.044 acidentes por ano. Mato Grosso, assim, contribui com cerca de 2% dos acidentes de trabalho.
Tabela 4 – Acidentes de trabalho
(Brasil e Mato Grosso: 2010-2017)

Fonte: Elaboração do autor com dados do
Anuário Estatístico de Acidentes do Trabalho
<http://sa.previdencia.gov.br/>
A Tabela 5 elenca as cinco atividades campeãs em acidentes de trabalho por atividades econômicas, no Brasil, que somam 741.122, no período de 2012 a 2017. As atividades de atendimento hospitalar estão em primeiro lugar com 326.193 registros ou 44,0%. A construção de edifícios é a quarta colocada com 96.985 registros (13,1%).
Tabela 5 – Registros de acidentes de trabalho por atividades econômicas.
Cinco atividades campeãs em acidentes (Brasil: 2012-2017)

Fonte: Elaboração do autor com dados do Observatório Digital de Saúde e Segurança do Trabalho do Ministério Público do Trabalho
<https://observatoriosst.mpt.mp.br/>
Convém registrar que só no período de 2013-2015, período em que o PIB começa a cair, são 2.050.598 acidentes com e sem Comunicação de Acidente de Trabalho (CAT) registrada (MARTINELLI FILHO e PONTES, [201-], p. 3).
A Tabela 6, por sua vez, apresenta os oito setores econômicos com mais comunicações, em Mato Grosso, que somam 25.878, no período de 2012 a 2017. O abate de reses, exceto suínos, está em primeiro lugar com 7.059 registros ou 27,3%. A construção de edifícios é o oitavo colocado com 1.590 registros (6,1%).
Todavia, vale salientar, que um diagnóstico “elaborado pelo Centro Estadual de Referência em Saúde do Trabalhador (Cerest), do setor da Vigilância em Saúde da Secretaria de Estado de Saúde (SES/MT), aponta a ocorrência de 11.327 casos graves no estado no período de 2012 a 2016.” (CARVALHO, 2018, p. 2). Também, segundo Zeni (2017), em torno de “120 pessoas morrem anualmente em Mato Grosso por acidente de trabalho. No ranking que classifica o número de mortes por 100 mil habitantes, o Estado ocupa a primeira posição”.
Tabela 6 – Registros de acidentes de trabalho.
Oito setores econômicos com mais comunicações
(Mato Grosso: 2012-2017)

Fonte: Elaboração do autor com dados do Observatório Digital de Saúde e Segurança do Trabalho do Ministério Público do Trabalho <https://observatoriosst.mpt.mp.br/>
Os principais riscos, comuns entre os canteiros de obras, são: desorganização no canteiro de obras, desatenção, queda de materiais, doenças de pele, queda de nível (mais comum na construção de edifícios), choques elétricos, falhas de sinalização (NOVENTA TI, 2017).
Por sua vez, o Sienge (2017) aponta como principais causas de acidentes na Construção Civil, as seguintes: falta de atenção dos colaboradores, não uso de Equipamento de Proteção Individual (EPI), falta de fiscalização no ambiente de trabalho, e equipamentos obsoletos.
4 CONSIDERAÇÕES FINAIS
A análise dos dados identifica 5.313.854 de acidentes de trabalho, no período 2010-2017, no Brasil, havendo uma redução de 21,68%. Em Mato Grosso, são 104.353 no mesmo período e 10,12% de redução de registros de acidentes. Registra-se, todavia, que a crise tem elevado a informalidade e mascarado os acidentes na Construção Civil, posto que vem aumentando “o número de pedreiros e serventes vivendo de bicos, longe dos olhos da fiscalização” (CAMPOS JR. (2018).
Das cinco atividades campeãs em acidentes de trabalho por atividades econômicas, no Brasil, com 741.122 registros, as atividades de atendimento hospitalar estão em primeiro lugar com 326.193 ocorrências (44,0%). A construção de edifícios é a quarta colocada com 96.985 registros (13,1%).
Dos oito setores econômicos com mais comunicações, em Mato Grosso, 25.878 registros, o abate de reses, exceto suínos, está em primeiro lugar com 7.059 registros (27,3%). A construção de edifícios é o oitavo colocado com 1.590 registros (6,1%).
A media de acidentes é de 664.232 no País, sendo de 13.044 em Mato Grosso.
Desorganização no canteiro de obras, desatenção, queda de materiais, doenças de pele, queda de nível (mais comum na construção de edifícios), choques elétricos, falhas de sinalização são principais riscos, comuns entre os canteiros de obras.
Também se depreende que as principais causas de acidentes na Construção Civil são: falta de atenção dos colaboradores, não uso de Equipamento de Proteção Individual (EPI), falta de fiscalização no ambiente de trabalho, e equipamentos obsoletos.
Dentre outras recomendações para mitigar os acidentes estão: formação e conscientização dos colaboradores, além do uso regular de EPI (óculos de segurança, protetor auditivo, máscara, uvas, calçado de segurança, cinto de segurança tipo paraquedista).
REFERÊNCIAS BIBLIOGRÁFICAS
BRASIL (1991). Lei nº 8.213, de 24 de julho de 1991. Dispõe sobre os Planos de Benefícios da Previdência Social e dá outras providências. Disponível em: <http://www.planalto.gov.br/ccivil_03/leis/L8213cons.htm>. Acesso em 21 mar. 2019.
CAMPOS JR., Ricardo. Crise eleva a informalidade e mascara acidentes na
construção civil. 16/042018. Disponível em: <https://www.campograndenews.com.
br/cidades/crise-eleva-a-informalidade-e-mascara-acidentes-na-construcao-civil>.
Acesso em 21 mar. 2019.
CARVALHO, Sandra. Diagnóstico aponta incidência de acidentes graves de trabalho em Mato Grosso. 29 de maio de 2018. CEREST/MT.Disponível em: <http://www.mt.gov.br/rss/-/asset_publisher/Hf4xlehM0Iwr/content/id/9847854>. Acesso em 11 mar. 2019.
CBIC. Câmara Brasileira da Indústria da Construção – Banco de Dados. Disponível em: <http://www.cbicdados.com.br/media/anexos/tabela_02.D.05_12.xlsx>
EM MOVIMENTO. Emprego, PIB, qualidade de vida: conheça as contribuições da construção civil para o Brasil. 17/12/2018. Disponível em: <https://g1.globo.com/ especial-publicitario/em-movimento/noticia/2018/12/17/emprego-pib-qualidade-de-vida-conheca-as-contribuicoes-da-construcao-civil-para-o-brasil.ghtml>. Acesso em 21 mar. 2019.
IBGE (2016). Instituto Brasileiro de Geografia e Estatística. Pesquisa Anual da Indústria da Construção. Disponível em: <https://cidades.ibge.gov.br/brasil/mt/pesq uisa/49/48988?ano=2010>. Acesso em 21 mar. 2019.
IBGE (2018). Instituto Brasileiro de Geografia e Estatística. Pesquisa Anual da Indústria da Construção. Disponível em: <https://cidades.ibge.gov.br/brasil/mt/pano rama>. Acesso em 21 mar. 2019.
LOSSO, Marcelo Ribeiro e LOSSO, Marlus Eduardo Faria. Educação para Segurança do Trabalho. Educação a Distância. INSTITUTO FEDERAL DE EDUCAÇÃO, CIÊNCIA E TECNOLOGIA – PARANÁ – EDUCAÇÃO A DISTÂNCIA Curitiba-PR, 2011. Disponível em: <http://ead.ifap.edu.br/netsys/public/livros/LIVROS%20SEGURAN %C3%87A%20DO%20TRABALHO/M%C3%B3dulo%20II/Livro%20Educacao%20para %20Seguranca%20do%20Trabalho.pdf>. Acesso em 03 mar. 2019.
MAPA DA OBRA. Gestão de riscos da construção civil: saiba como evitar problemas. 12/09/2017. Disponível em: <https://www.mapadaobra.com.br/gestao/ge stao-de-riscos-da-construcao-civil-evitar-problemas/?doing_wp_cron=1551370803. 1663329601287841796875>. Acesso em 03 mar. 2019.
MARTINELLI FILHO, Wagner; PONTES, José Carlos Alberto de. O Panorama Atual dos Acidentes de Trabalho na Construção: Uma Análise a Partir do Anuário Estatístico da Previdência Social – Triênio 2013 a 2015. Revista Científica Multidisciplinar Núcleo do Conhecimento. Ano 03, Ed. 02, Vol. 04, pp. 19-29, Fevereiro de 2018. ISSN: 2448-0959. Disponível em: <https://www.nucleodoconhecimento.com.br/engenharia-civil/acidentes-de-trabalho-na-construcao>. Acesso em 03 mar. 2019.
MELLO, Luiz Carlos Brasil de Brito e AMORIM, Sérgio Roberto Leusin de. O subsetor de edificações da construção civil no Brasil: uma análise comparativa em relação à União Europeia e aos Estados Unidos. Produção, v. 19, n. 2, p. 388-399, 2009. Disponível em: <http://www.scielo.br/pdf/prod/v19n2/v19n2a13.pdf>. Acesso em 03 mar. 2019.
NOVENTA TI. Veja 5 dados sobre segurança do trabalho na construção civil. 20 de dezembro de 2017. 20 de dezembro de 2017. Disponível em: <https://noventa.com.br/blog/veja-5-dados-sobre-seguranca-do-trabalho-na-construc o-civil/>. Acesso em 21 mar. 2019.
PAIC. Pesquisa Anual da Indústria da Construção. Disponível em: <https://www.ibge.gov.br/estatisticas-novoportal/economicas/industria/9018-pesquisa -anual-da-industria-da-construcao.html?edicao=9019&t=downloads>. Acesso em 21 mar. 2019.
PEIXOTO, Neverton Hofstadler. Curso técnico em automação industrial: segurança do trabalho. – 3. ed. – Santa Maria : Universidade Federal de Santa Maria :Colégio Técnico Industrial de Santa Maria, 2010. Disponível em: <http://redeetec.mec.gov.br/images/stories/pdf/eixo_ctrl_ proc_indust/tec_autom_ind/ seg_trab/161012_seg_do_trab.pdf>. Acesso em 03 mar. 2019.
SIENGE. Acidentes na Construção Civil – uma infeliz realidade do setor. 16/10/2017. Disponível em: <https://www.sienge.com.br/blog/acidentes-na-construcao-civil/>. Acesso em 03 mar. 2019.
SILVA, Eduardo Ferreira da; CHIESA, Fabiano Lopes; GOLDONI, Alessandro Graeff; GOMES, Aline Pimentel; MARTINS, Marcele Salles; PANDOLFO, Luciana Marcondes. Avaliação de risco ergonômico: pedreiro na construção civil. INOVAE
– Journal of Engineering and Technology Innovation, São Paulo, v. 2, n. 3, p.77-94, set./dez., 2014. Disponível em: <http://www.revistaseletronicas.fmu.br/index.php/ino vae/article/download/468/731>. Acesso em 03 mar. 2019.
VIANA, Mairla Germana Pitombeira; ALVES, Cacilda Sousa; JERÔNIMO, Carlos Enrique de Medeiros. Análise preliminar de riscos na atividade de acabamento e revestimento externo de um edifício. Revista Monografias Ambientais – REMOA v.14, n.3, mai-ago. 2014, p.3289-3298. Revista do Centro de Ciências Naturais e Exatas – UFSM, Santa Maria. e-ISSN 2236 1308 – DOI:10.5902/2236130813061 Disponível em: <https://periodicos.ufsm.br/remoa/article/viewFile/13061/pdf>. Acesso em 11 mar. 2019.
ZENI, Camilla. Com 120 casos por ano, Mato Grosso lidera ranking de mortes por acidente do trabalho no Brasil. 09 de Maio de 2017. Disponível em: <http://www.hipernoticias.com.br/cidades/com-120-casos-por-ano-mato-grosso-lidera-ranking-de-mortes-por-acidente-do-trabalho-no-brasil/73158>. Acesso em 11 mar. 2019.

